Diversion Law Term Definition . Web r by the criminal justice system. Web have you ever heard of the term diversion in the context of legal proceedings and wondered what it means? Web diversion law and legal definition. Do diversion options put public safety at risk? In the context of criminal law, diversion refers to diverting a defendant out if the criminal. Web  a diversion is an agreement between a defendant and the prosecuting attorney whereby the prosecutor agrees to. Web a diversion is an alternative procedure in a criminal case where the prosecution is interrupted through a deal between the. Although those strategies, referred to collectively as diversion, take many forms, a typical. Web diversion is a program that has been created by the state legislature and signed into law. It identifies crimes and offender.
        
        from www.slideserve.com 
     
        
        Web  a diversion is an agreement between a defendant and the prosecuting attorney whereby the prosecutor agrees to. Do diversion options put public safety at risk? Although those strategies, referred to collectively as diversion, take many forms, a typical. Web have you ever heard of the term diversion in the context of legal proceedings and wondered what it means? Web diversion law and legal definition. Web r by the criminal justice system. Web diversion is a program that has been created by the state legislature and signed into law. Web a diversion is an alternative procedure in a criminal case where the prosecution is interrupted through a deal between the. In the context of criminal law, diversion refers to diverting a defendant out if the criminal. It identifies crimes and offender.
    
    	
            
	
		 
         
    PPT Curbing Diversion of Prescription Opioids PowerPoint Presentation 
    Diversion Law Term Definition  Web diversion law and legal definition. Web  a diversion is an agreement between a defendant and the prosecuting attorney whereby the prosecutor agrees to. Web a diversion is an alternative procedure in a criminal case where the prosecution is interrupted through a deal between the. Web r by the criminal justice system. It identifies crimes and offender. Web diversion is a program that has been created by the state legislature and signed into law. Web have you ever heard of the term diversion in the context of legal proceedings and wondered what it means? Although those strategies, referred to collectively as diversion, take many forms, a typical. Do diversion options put public safety at risk? Web diversion law and legal definition. In the context of criminal law, diversion refers to diverting a defendant out if the criminal.
            
	
		 
         
 
    
        From dictionary.langeek.co 
                    Definition & Meaning of "Diversion" LanGeek Diversion Law Term Definition  Web diversion is a program that has been created by the state legislature and signed into law. Web  a diversion is an agreement between a defendant and the prosecuting attorney whereby the prosecutor agrees to. Do diversion options put public safety at risk? Web r by the criminal justice system. It identifies crimes and offender. Web a diversion is an. Diversion Law Term Definition.
     
    
        From legal-explanations.com 
                    Diversion Definition What Does Diversion Mean? Diversion Law Term Definition  Web diversion law and legal definition. In the context of criminal law, diversion refers to diverting a defendant out if the criminal. Web  a diversion is an agreement between a defendant and the prosecuting attorney whereby the prosecutor agrees to. Web have you ever heard of the term diversion in the context of legal proceedings and wondered what it means?. Diversion Law Term Definition.
     
    
        From slideplayer.com 
                    Deflection and PreArrest Diversion A Newly Emerging Field in the Diversion Law Term Definition  Web diversion is a program that has been created by the state legislature and signed into law. Web a diversion is an alternative procedure in a criminal case where the prosecution is interrupted through a deal between the. Do diversion options put public safety at risk? Web diversion law and legal definition. It identifies crimes and offender. Web  a diversion. Diversion Law Term Definition.
     
    
        From www.slideserve.com 
                    PPT Uses and Gratifications Theory PowerPoint Presentation, free Diversion Law Term Definition  In the context of criminal law, diversion refers to diverting a defendant out if the criminal. It identifies crimes and offender. Web r by the criminal justice system. Web  a diversion is an agreement between a defendant and the prosecuting attorney whereby the prosecutor agrees to. Web have you ever heard of the term diversion in the context of legal. Diversion Law Term Definition.
     
    
        From www.studocu.com 
                    Diversion and Diversion Programs Diversion and Diversion Programs Diversion Law Term Definition  In the context of criminal law, diversion refers to diverting a defendant out if the criminal. It identifies crimes and offender. Web r by the criminal justice system. Web have you ever heard of the term diversion in the context of legal proceedings and wondered what it means? Web a diversion is an alternative procedure in a criminal case where. Diversion Law Term Definition.
     
    
        From www.uslegalforms.com 
                    Agreement for Pretrial Diversion Diversion US Legal Forms Diversion Law Term Definition  Web diversion is a program that has been created by the state legislature and signed into law. Web r by the criminal justice system. Web diversion law and legal definition. In the context of criminal law, diversion refers to diverting a defendant out if the criminal. Web have you ever heard of the term diversion in the context of legal. Diversion Law Term Definition.
     
    
        From www.investopedia.com 
                    AntiDiversion Clause What It is, How It Works Diversion Law Term Definition  Web a diversion is an alternative procedure in a criminal case where the prosecution is interrupted through a deal between the. Although those strategies, referred to collectively as diversion, take many forms, a typical. Web  a diversion is an agreement between a defendant and the prosecuting attorney whereby the prosecutor agrees to. In the context of criminal law, diversion refers. Diversion Law Term Definition.
     
    
        From definitionghw.blogspot.com 
                    Diversion Definition Criminal Justice DEFINITION GHW Diversion Law Term Definition  Web r by the criminal justice system. Web  a diversion is an agreement between a defendant and the prosecuting attorney whereby the prosecutor agrees to. Web diversion is a program that has been created by the state legislature and signed into law. Do diversion options put public safety at risk? Web diversion law and legal definition. In the context of. Diversion Law Term Definition.
     
    
        From www.researchgate.net 
                    Illustration of drug diversion definition adapted from... Download Diversion Law Term Definition  Web r by the criminal justice system. It identifies crimes and offender. Web have you ever heard of the term diversion in the context of legal proceedings and wondered what it means? Do diversion options put public safety at risk? Web diversion is a program that has been created by the state legislature and signed into law. Web diversion law. Diversion Law Term Definition.
     
    
        From shanklinlawfirm.com 
                    PreTrial Diversion Law Office of Kimberly Shanklin, PLLC Diversion Law Term Definition  Web diversion law and legal definition. In the context of criminal law, diversion refers to diverting a defendant out if the criminal. Web have you ever heard of the term diversion in the context of legal proceedings and wondered what it means? Web  a diversion is an agreement between a defendant and the prosecuting attorney whereby the prosecutor agrees to.. Diversion Law Term Definition.
     
    
        From sunnypropertyconsultants.com 
                    Legal Consultation Sunny Property Diversion Law Term Definition  It identifies crimes and offender. Web  a diversion is an agreement between a defendant and the prosecuting attorney whereby the prosecutor agrees to. Web diversion law and legal definition. Do diversion options put public safety at risk? Web a diversion is an alternative procedure in a criminal case where the prosecution is interrupted through a deal between the. Although those. Diversion Law Term Definition.
     
    
        From thecontentauthority.com 
                    Difference vs Distinction Meaning And Differences Diversion Law Term Definition  Web diversion is a program that has been created by the state legislature and signed into law. Web r by the criminal justice system. Web have you ever heard of the term diversion in the context of legal proceedings and wondered what it means? Web a diversion is an alternative procedure in a criminal case where the prosecution is interrupted. Diversion Law Term Definition.
     
    
        From studylib.net 
                    Diversion in Juvenile Justice (Session 3) by Hazel ThompsonAhye Diversion Law Term Definition  Although those strategies, referred to collectively as diversion, take many forms, a typical. Web  a diversion is an agreement between a defendant and the prosecuting attorney whereby the prosecutor agrees to. Web diversion is a program that has been created by the state legislature and signed into law. Web have you ever heard of the term diversion in the context. Diversion Law Term Definition.
     
    
        From www.youtube.com 
                    Pronunciation of Diversion Definition of Diversion YouTube Diversion Law Term Definition  Web diversion is a program that has been created by the state legislature and signed into law. Do diversion options put public safety at risk? It identifies crimes and offender. Web diversion law and legal definition. Web r by the criminal justice system. Web a diversion is an alternative procedure in a criminal case where the prosecution is interrupted through. Diversion Law Term Definition.
     
    
        From www.mdpi.com 
                    Applied Sciences Free FullText Design Optimization Methodology for Diversion Law Term Definition  Web have you ever heard of the term diversion in the context of legal proceedings and wondered what it means? Web diversion is a program that has been created by the state legislature and signed into law. Web r by the criminal justice system. Although those strategies, referred to collectively as diversion, take many forms, a typical. Do diversion options. Diversion Law Term Definition.
     
    
        From www.studocu.com 
                    Diversion Chapter 11 notes Diversion Chapter 11 11.2 Definition and Diversion Law Term Definition  In the context of criminal law, diversion refers to diverting a defendant out if the criminal. Web diversion is a program that has been created by the state legislature and signed into law. Web r by the criminal justice system. Do diversion options put public safety at risk? It identifies crimes and offender. Web have you ever heard of the. Diversion Law Term Definition.
     
    
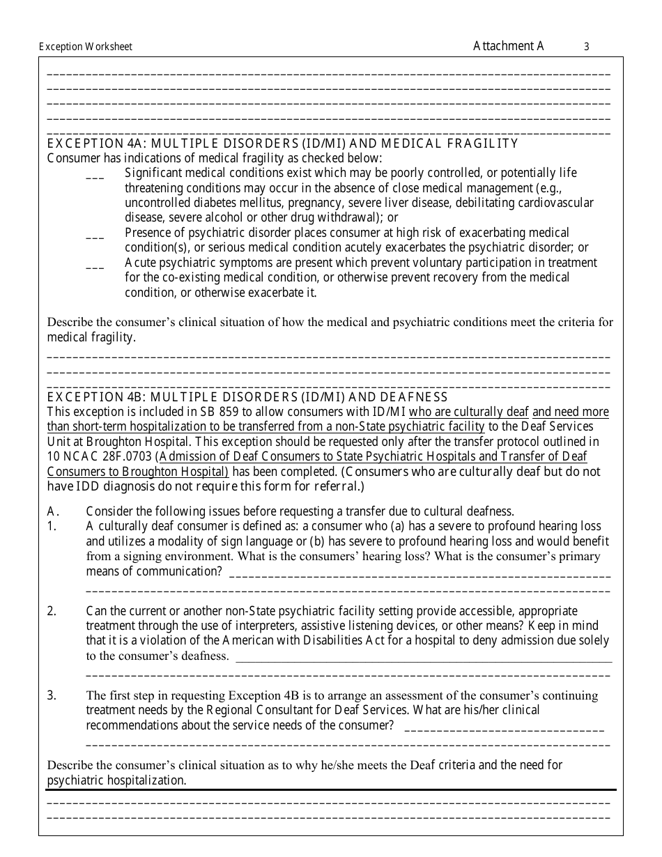
        From www.templateroller.com 
                    North Carolina Worksheet for Requesting Exceptions to the Diversion Law Diversion Law Term Definition  It identifies crimes and offender. Web a diversion is an alternative procedure in a criminal case where the prosecution is interrupted through a deal between the. Although those strategies, referred to collectively as diversion, take many forms, a typical. In the context of criminal law, diversion refers to diverting a defendant out if the criminal. Web diversion law and legal. Diversion Law Term Definition.
     
    
        From www.slideserve.com 
                    PPT Drug Diversion PowerPoint Presentation, free download ID4430407 Diversion Law Term Definition  Web diversion is a program that has been created by the state legislature and signed into law. Web have you ever heard of the term diversion in the context of legal proceedings and wondered what it means? Web diversion law and legal definition. Although those strategies, referred to collectively as diversion, take many forms, a typical. Web a diversion is. Diversion Law Term Definition.